Pengumuman Formasi CPNS Kabupaten Tegal 2019
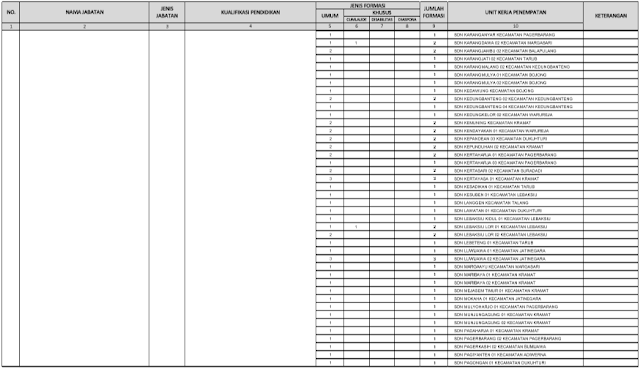
Pemerintah Kabupaten Tegal mengumumkan alokasi formasi seleksi CPNS 2019. Alokasi formasi Kabupaten Tegal adalah 499 yang terdiri dari 479 pelamar umum dan 20 pelamar khusus (cumlaude, disabilitas dan diaspora) dengan rincian:
Sesuai jadwal seleksi CPNS 2019 maka proses pendaftaran secara online akan dilaksanakan hingga tanggal 24 November 2019.
Apakah anda sudah mengetahui formasi CPNS Tegal 2019? Kalau belum maka cek formasinya di bawah ini.
Download
Surat Pernyataan
Download
- Tenaga Kependidikan 308 kebutuhan formasi;
- Tenaga Kesehatan 75 kebutuhan formasi;
- Tenaga Teknis 116 kebutuhan formasi.
Sesuai jadwal seleksi CPNS 2019 maka proses pendaftaran secara online akan dilaksanakan hingga tanggal 24 November 2019.
Apakah anda sudah mengetahui formasi CPNS Tegal 2019? Kalau belum maka cek formasinya di bawah ini.
Rincian Formasi CPNS Kabupaten Tegal 2019
Berikut merupakan rincian alokasi formasi CPNS Kab. Tegal 2019.Download Pengumuman Penerimaan CPNS Kabupaten Tegal 2019
Pengumuman nomor : 810/26/5886Download Contoh Surat Lamaran dan Surat Pernyataan CPNS Kabupaten Tegal 2019
Surat LamaranSurat Pernyataan
Demikian Formasi Lowongan CPNS Kabupaten Tegal 2019. CPNSCPNS Kab. Tegal












Belum ada komentar untuk "Pengumuman Formasi CPNS Kabupaten Tegal 2019"