Pengumuman Formasi Tenaga Pendidikan CPNS Kabupaten Cilacap 2019
Pemerintah Kabupaten Cilacap mengumumkan alokasi formasi seleksi CPNS 2019. Alokasi formasi Kabupaten Jepara adalah 815 yang terdiri dari 789 pelamar umum dan 26 pelamar khusus (cumlaude, dan disabilitas) dengan rincian:
1. Formasi Khusus
Sesuai jadwal seleksi CPNS 2019 maka proses pendaftaran secara online akan dilaksanakan hingga tanggal 24 November 2019.
Apakah anda sudah mengetahui formasi Tenaga Kesehatan CPNS Cilacap 2019? Kalau belum maka cek formasinya di bawah ini.
Demikian Formasi Lowongan CPNS Kabupaten Cilacap 2019 untuk Tenaga Kesehatan.
CPNSCPNS Kab. Cilacap
1. Formasi Khusus
- Tenaga guru cumlaude 10 formasi
- Tenaga Teknis 16 formasi
- Tenaga Guru 410 kebutuhan formasi;
- Tenaga Kesehatan 117 kebutuhan formasi;
- Tenaga Teknis 262 kebutuhan formasi.
Sesuai jadwal seleksi CPNS 2019 maka proses pendaftaran secara online akan dilaksanakan hingga tanggal 24 November 2019.
Apakah anda sudah mengetahui formasi Tenaga Kesehatan CPNS Cilacap 2019? Kalau belum maka cek formasinya di bawah ini.
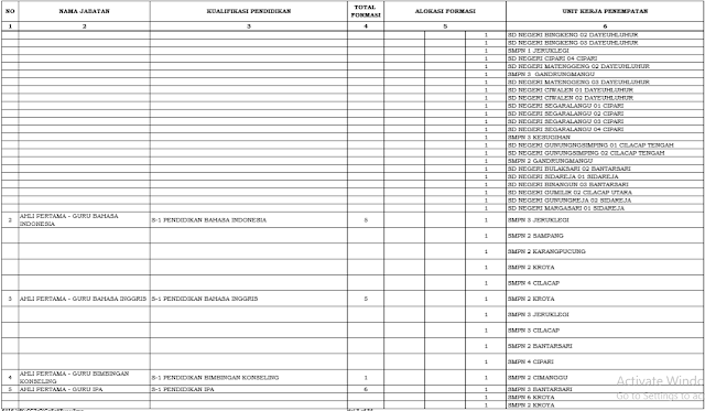
Rincian Formasi Tenaga Pendidikan CPNS Kabupaten Cilacap 2019
Berikut merupakan rincian alokasi formasi CPNS Kab. Cilacap 2019 untuk Tenaga Pendidikan.Download Lampiran Pengumuman Penerimaan CPNS Kabupaten Cilacap 2019 Semua Formasi
Pengumuman nomor : 810 / 9799 / 37Demikian Formasi Lowongan CPNS Kabupaten Cilacap 2019 untuk Tenaga Kesehatan.












Belum ada komentar untuk "Pengumuman Formasi Tenaga Pendidikan CPNS Kabupaten Cilacap 2019"